728x90
반응형

안녕하세요?
Stock Simple, 씸플입니다.
일론 머스크, 테슬라(TSLA) 주식 매도 공시, 씸플분석 입니다.
미국 증권거래 위원회, SEC에 6개의 Form4 문서가 올라왔습니다.

🔥총 매도량 : 7,924,107주
🔥평균 가격 : $880.310
🔥총 매도가격 : 약 $6,899,805,770 (원화:9,022,979,502,515원)
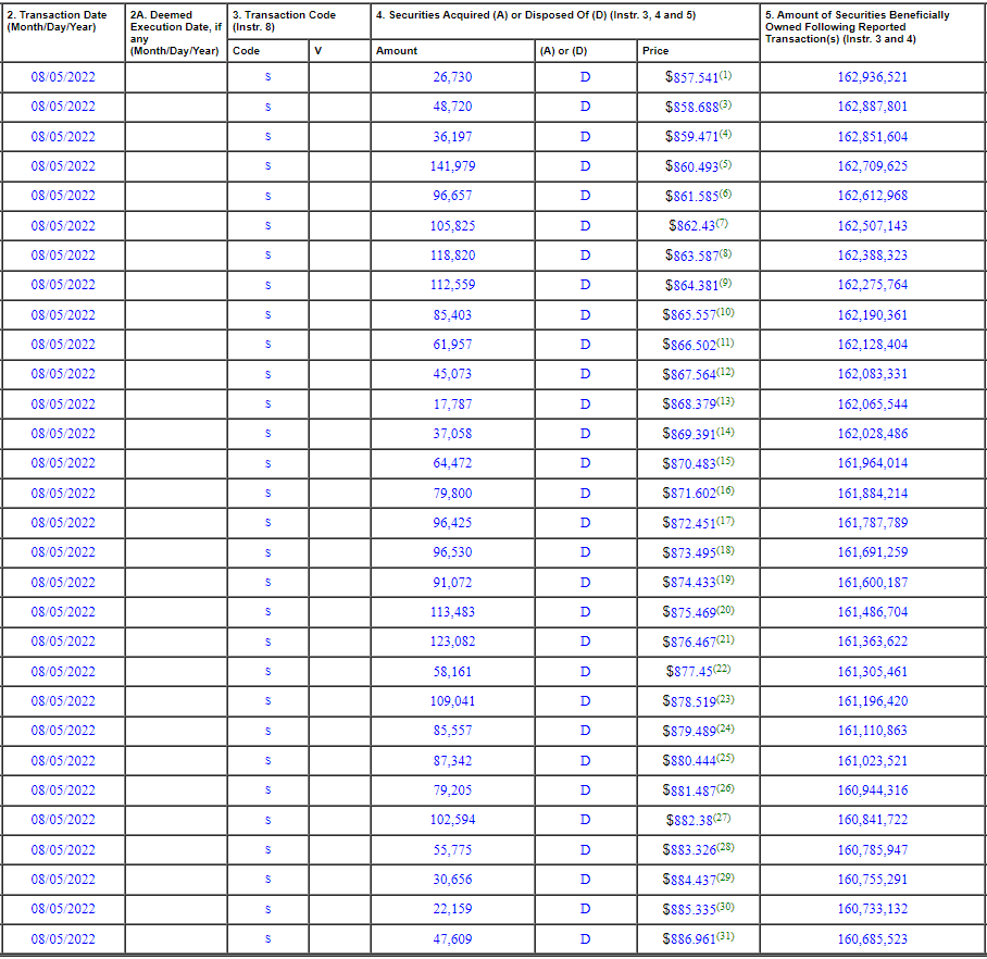
📌첫번째 문서(08/05)
- 총 2,277,728주 매도
- 평균 가격 : $871.99

📌두번째 문서(08/05)
- 총 1,022,272주 매도
- 평균 가격 : $899.87

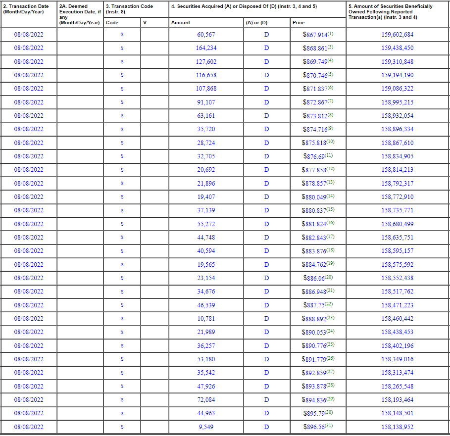
📌세번째 문서(08/08)
- 총 1,524,299주 매도
- 평균 가격 : $882.34

📌네번째 문서(08/08)
- 총 59,580주 매도
- 평균 가격 : $899.718

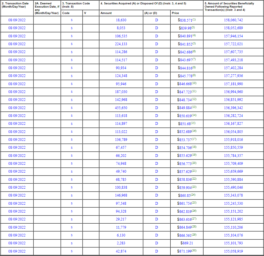
📌다섯번째 문서(08/09)
- 총 3,020,453주 매도
- 평균 가격 : $853.478

📌여섯번째 문서(08/09)
- 총 19,775주 매도
- 평균 가격 : $874.461

항상 글 읽어주셔서 감사합니다. (꾸벅)
728x90
반응형
'씸플 분석' 카테고리의 다른 글
| 테슬라(TSLA), 머스크 제외 내부자 매도 공시 분석 (2) | 2022.08.11 |
|---|---|
| 7월 소비자 물가 지수(CPI) 보고서 분석 (2) | 2022.08.11 |
| 테슬라(TSLA), 2022 7월 중국 판매량 발표 (4) | 2022.08.09 |
| 중국 전기차 업체 7월 인도량 발표(니오, 리오토, 샤오펑) (4) | 2022.08.02 |
| 개인소비지출(PCE) 분석, 파월 인플레이션에 PCE가 가장 좋은 척도! (4) | 2022.07.30 |

댓글